粉体行业在线展览
BeSEC
面议
丹东百特
BeSEC
999
产品介绍
BeSEC 光散射检测器是丹东百特仪器有限公司全新推出的静态光散射检测器系统,可以与市场上任何第三方的色谱前端相连接,通过检测每一个被分离的流出组分的散射光信号,结合接收到的示差折光检测器或者紫外检测器得到的浓度信号,计算样品**分子量Mn、Mw、Mz以及分子量分布等信息。

基本性能指标
功能和参数 | BeSEC LS1 | BeSEC LS2 |
| 系统参数 | ||
| 激光 | 半导体激光器 640 nm | |
| 能量 | 10 mW | |
| 检测角度 | 90 ° | 7° 和 90 ° |
| 容积 | 18 μL | |
| 采样率 | 5 Hz | |
| 分子量和Rg测试 | ||
| 分子量范围 | 1000 Da – 2 x 107 Da* | 1000 Da – 2 x 109 Da* |
| Rg | -- | > 12 nm |
| 检测模式 | 均聚物模式、蛋白模式 | |
| 结果输出 | Mn,Mw,Mz,Mp,PD,分子量分布, 浓度,dn/dc | Mn, Mw, Mz, Mp, PD, Rg, 分子量分布,浓度,dn/dc |
| 输入端口 | RI、UV和触发 | |
| 电源 | 100 -240 VAC,50/60 Hz,4A | |
尺寸 | 长宽高 450*325*157 mm(11Kg) | |
电脑配置要求 | Win 10/11 64位 | |
| 软件语言选择 | 中文和英文 | |
* 取决于样品和选件 | ||
检测参数
● 分子量Mn、Mw、Mz、Mp
● PD和分子量分布
● 分子尺寸Rg
● 浓度
● dn/dc
独特技术
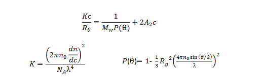
静态光散射技术SLS,检测颗粒、大分子物质的平均散射光强,通过瑞利散射方程将散射光强与大分子物质的**分子质量和第二维利系数A2等信息联系起来。

其中c为样品的浓度,θ为测量的角度,Rθ 为θ角方向的瑞利散射比,Mw 为分子量,A2 为第二维利系数,K为与(dn/dc)2相关的常数,P(θ)为结构因子。检测过程中,BeSEC作为一个光散射检测器与凝胶色谱前端相连接,收集直角90°和小角7°光散射信号以及前端的示差或者紫外信号,通过BeSEC工作站软件计算得到分子量分布和平均分子量Mn、Mw、Mz的信息。
应用领域
● 化学化工:各种聚合物、超分子表征
● 生命科学:蛋白、多肽及多糖的表征
Bettersize3000plus
Bettersize2600
BeNano 180 Zeta Max
BeNano 180 Zeta Pro
BT-Online1
BT-Online2
BT-Inline300
BeVision D3
BT-1001
BeScan Lab
BetterPyc 380
Bettersize 2600咖啡粉专用型