
小巧而精密的Brookfield粘度计,有着一套自己的标准操作方法。为了获得长期稳定、可靠和准确的测试数据,请务必遵照粘度计的操作手册或操作指示执行。下面,我们来分享一些使用过程中看似不起眼,却至关重要的仪器基本保护。仪器保护帽粘度计的移动或运输过程中,一定要装好保护帽。这样可以避免宝石轴承系统遭受强烈的碰撞和摩擦,从而导致粘度计测量不准确甚至损坏。切记在仪器开机或运转前,一定要先摘下仪器保护帽。

小巧而精密的Brookfield粘度计,有着一套自己的标准操作方法。为了获得长期稳定、可靠和准确的测试数据,请务必遵照粘度计的操作手册或操作指示执行。下面,我们来分享一些使用过程中看似不起眼,却至关重要的仪器基本保护。仪器保护帽粘度计的移动或运输过程中,一定要装好保护帽。这样可以避免宝石轴承系统遭受强烈的碰撞和摩擦,从而导致粘度计测量不准确甚至损坏。切记在仪器开机或运转前,一定要先摘下仪器保护帽。

本文摘要除了在工业化学品、聚合物和石化衍生燃料合成中发挥长期作用外,催化剂在向低环境影响的循环工业再生过程的绿色转型中,发挥着日益重要的作用。马尔文帕纳科仪器和技术可以帮助您更深入地了解催化剂的材料特性,从而实现您的可持续发展目标。概述100多年来,多相催化剂始终居于化工行业的核心位置,成功实现了从生产日用化学品和精细化学品向净化汽车尾气中有害气体等应用的转型升级。目前,在充分挖掘废弃原料价值、探

在开发高性能聚氨酯双组份导热粘接胶的过程中,为实现体系的高导热特性,需在多元醇组份(A组份)与异氰酸酯组份(B组份)中分别填充高负载量的导热无机粉体。然而,此类粉体与聚氨酯树脂基体间存在显著的界面相容性问题,易导致粉体团聚、分散困难,致使体系黏度急剧上升,流变性能恶化,并削弱胶层的粘接强度。 为解决上述问题,东超新材料设计了聚氨酯体系专用的导热粉体,对导热粉体进行表面改性以优化其界面相容性

随着新能源技术飞速发展,从锂电池隔膜、功能涂层膜,到高性能薄膜材料,越来越多的工艺对涂层厚度、均匀性、重复性提出严苛要求。传统的手工涂布方式往往存在操作不稳定、厚度波动大、样本一致性差等问题。在这种背景下,自动化、可控化的涂布方案正成为研发与质控的关键工具。作为工业物理旗下TQC Sheen品牌的旗舰涂布设备,AB4400自动涂布机配备加热穿孔真空床、数字温控、0.1 – 500 mm/s 涂布速

桂林鸿程石油焦磨粉机厂了解到,由于水泥生产是一个消耗大理能源、资源的产业,采用热值高、污染小、价格低的SRF替代燃料则是水泥厂降本增效的又一法宝。那么石油焦磨粉后可水泥窑中作新型替代燃料吗? 桂林鸿程石油焦磨粉厂从网上获悉,某水泥企业结合现有原煤、铁质材料、石灰石等大宗原燃材料品质、含硫量,制定了具体方案,控制硫碱比在1.0~1.2之间,采购硫含量3.0%的石油焦,掺入比例从5%开始试用,按

背景界面的膨胀或扩张流变描述了界面如何对面积变化(增加或减小)做出响应。该反应可以是弹性的,也可以是粘性的。通过震荡滴方法,可以相应的得到界面流变的参数,即量粘弹性模量E,弹性模量E'和粘性模量E"[1, 2] 。实验方法样品用三种不同的样品进行测试,这些样品在测量之前已经根据用途准备成水溶液(表1)。 这三个样品都是食品中典型的表面活性添加剂。水解蛋白可用作增味剂,且适用于过敏

本文摘要钠离子电池正极材料的晶型和纯度都会影响其性能,可以通过X射线衍射(XRD)技术对其进行物相鉴定及纯度分析。但钠电正极材料中通常含有Mn、Fe、Co、Ni等荧光元素,对样品测试造成荧光干扰,影响衍射数据质量。本文通过对两种层状过渡金属氧化物和三种聚阴离子化合物的测试,介绍了马尔文帕纳科Empyrean锐影配置1 Der探测器搭配独有的BBHD光路,实现样品中全元素无荧光干扰的效果,大幅提高数

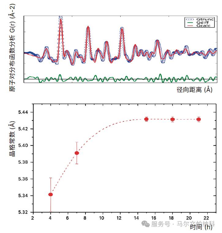
本文摘要Empyrean锐影多功能衍射系统可提供的实验室级硬射线对分布函数表征(Pair Distribution Function Analysis(PDF))方案,应用于硬碳类电极材料短程有序结构的研究,初步揭示了硬碳类电极材料短程有序性和长程结构的差异,为进一步离线追踪电化学反应过程中,硬碳类电极材料的短程结构变化提供合理性与可行性的实验参照基础。引言PDF分析(对分布函数,Pair Dis

AVS Römer 多功能分配器一个组件,多种集成功能:即插即用解决方案,适用于流体和气动领域快速、安全和精确的过程应用。单个组件可针对技术设备和机器中液体和气体流动进行供应、分配和控制。集成的过滤器和阀门功能与模块化设计相结合,可实现多种配置。分配器作为一个组件处理各种各样的功能。减少安装工作,简化材料管理。无需单独的配件,减少泄漏点。使精确专业的安装更加容易并安全。无论是阀门、密封和隔膜装置,

破局强酸腐蚀困境:哈氏合金材质的康杰斯混合造粒机,引领行业革新在化工、冶金、环保及精细化学品等工业领域,强酸物料的混合与造粒一直是一项极具挑战性的工艺。高浓度的盐酸、硫酸、磷酸以及含有氯化物、氟化物的强腐蚀性介质,不仅对生产安全构成威胁,更是对设备本身提出了近乎苛刻的耐腐蚀要求。传统的不锈钢设备在此类工况下往往迅速被腐蚀,导致设备寿命骤减、产品金属污染、频繁停机维护,严重制约了企业的生产效率和产品

在高端工业混合设备领域,欧洲品牌长期以来被视为品质与可靠性的黄金标准。然而,近年来,中国制造正以前所未有的速度向上突破,其中,康杰斯强力混合机便是敢于向欧洲品质发起挑战并赢得市场的杰出代表。它并非简单的模仿者,而是以独特的技术创新、扎实的工艺和对客户需求的深刻理解,实现了与欧洲巨头同台竞技的实力。其敢于争锋的底气,主要来源于以下几个核心优势:一、 技术内核:深研创新,掌握核心科技高效混合机理与精密

康杰斯(kontex)混合造粒机以其独特的技术和设计,在生产颗粒时具有多项显著优势,尤其在均匀性、效率、适应性等方面表现突出。以下是其生产颗粒的主要优势:1. 颗粒均匀性高强力混合作用:通过高速转子与容器的反向运动,实现三维立体混合,确保物料充分分散,颗粒大小和密度高度均匀。可控的造粒过程:精确调节转速、混合时间和液体添加量,避免颗粒过粗或过细,适合对一致性要求高的行业(如医药、化工)。2. 适应

气相二氧化硅(简称“气硅”)作为一种重要的无机纳米材料,因其独特的物理化学性质,在高分子材料改性领域中扮演着越来越重要的角色。聚氨酯胶粘剂是一种广泛应用于建筑、汽车、电子、包装等多个行业的高性能粘合材料,具有良好的柔韧性、耐老化性和粘接强度。然而,传统聚氨酯胶粘剂在某些极端环境下仍存在强度不足、耐热性差等问题。为提升其综合性能,研究人员常通过添加功能性填料来改善其力学性能。其中,气相二氧化硅凭借其

EVA(乙烯-醋酸乙烯酯共聚物)发泡材料因其轻质、柔韧、缓冲性能优异,广泛应用于鞋材、体育用品、包装和建筑领域。然而,在生产过程中,制品表面或内部出现微小针孔是长期困扰工程师的技术难题。这一缺陷不仅影响产品外观,更会显著降低其力学性能和耐用性。究其根源,往往与发泡体系的核心助剂——氧化锌的催化特性密切相关。针孔缺陷的机理深度剖析EVA发泡是一个动态的物理化学过程,依赖于发泡剂AC(偶氮二甲酰胺)的

本文摘要硫化物固态电解质是新能源电池的热门研究课题,对该类型材料的粒度检测也备受关注。激光衍射法粒度分析是电池行业粒度检测的必备工具,但硫化物电解质极易吸潮生成剧毒硫化氢气体,因此只能在低露点干燥室或手套箱中检测。在干法测试发现样品因细粉较多团聚严重经常拖尾,不能满足检测需求,本文探讨了湿法测试对于检测硫化锂电解质的可行性和优势,一定程度上证明湿法测试既能满足粉体,也能测试研磨过程浆料的粒度分布。

随着高端装备和尖端技术对材料性能需求的日益提高,合金材料在元素种类、成分跨度、微观结构等方面的复杂性不断增加。非晶合金是典型的复杂合金体系,表现出其他和静不具备的成型特性和机械、物理、化学性质,在关键领域有重要作用。然后,非晶合金涵盖的成分空间巨大,制备过程又依赖环境气氛、高温、冷却速度等条件,材料研发难度极大。材料基因工程能够同步提升材料探索的广度和速度。柳延辉团队联合相关行业企业,经过近两年时

coax阀门在船舶推进系统燃气发动机上的应用液化天然气是重质原油等传统燃料的环保替代品,使用液化天然气可以显著减少硫,氮氧化合物,可吸入颗粒物和二氧化碳的排放。具有巨大的经济优势。液化天然气【LNG】是在-162°C的低温状态下储存在船上的,相同体积下,气体处于液态时,可以储存更多的能量。LNG使用前需要短暂重新加热成为气体,方可进入燃气阀组单元。燃气阀组单元在规定的压力下向连接的燃气发动机提供定

密封是一个相对的概念,没有绝对不泄漏的工件在自动泄漏测试中,即使要求工件必须是对液体密封的,也用空气或其它专用测试气体做为检测介质。为什么用氦气来检测?•空气中几乎不含氦气•氦气分子小,可以渗透很小的间隙•氦气是惰性气体(无毒,无气味)•不会和其他物质发生反应(惰性气体)•可用标准质谱仪检测coax – 泄漏检测在我们的泄漏检测程序中,检测对象要排空,然后加压使氦气喷射.泄漏检测要保证氦气能渗透微

在精细化工领域,每一个生产环节的精确与洁净都直接关系到最终产品的品质与安全。而拆包工序,作为原料投入的“第一公里”,早已告别了传统人工刀割斧凿的粗放模式,正凭借自动化拆包技术,悄然转型为智能制造的关键一环,成为保障生产效率、洁净环境与人员安全的幕后功臣。▌精准拆包,守护洁净生产生命线精细化工生产对工作环境的洁净度、原料的纯净度以及生产安全有着极为严苛的要求。传统人工拆包不仅效率低下,更易因粉尘飞扬
- 1真空应用设备【2025年12月】
- 2真空配套设备【2025年12月】
- 3真空检漏设备【2025年12月】
- 4真空获得设备【2025年12月】
- 5KYKY钨灯丝扫描电镜
- 6KYKY场发射扫描电镜V02
- 7安东帕在线饮料分析仪样册——饮料生产
- 8四方仪器激光气体分析仪(防爆型)
- 【助力科研】粉末挤出3D打印破解多材料梯度惰性阳极烧结开裂难题,推动无碳铝电解发展
- 粉末挤出3D打印制备难熔金属和先进陶瓷发展趋势
- 顶刊速递|为什么温敏水凝胶的研究进展值得关注?
- 声共振机械合金化 制备Ni-Al反应材料的可行性研究与机理探讨
- 突破肽类高浓度制剂瓶颈 声共振技术实现稳定纳米悬浮
- 常驻顶刊!为何磁性纳米粒子的研究如此“高产”?
- 日本石川擂溃机化学工业实验用装置的高效选择
- 为什么COFs的催化应用近期顶刊不断?
- 从“作用”到“场域”:粉碎技术的范式演进与柯立微能量场理论的构建
- 大明化学氧化铝粉在低温烧结制粉中的应用
- Development, Characterization, and Molecular Dynamics Simulation of Andrographolide Nanosuspensions Utilizing Hummer Acoustic Resonance Technology
- 苏州碳丰科技首席科学家程金生老师以本公司名义在国际上发表关于石墨烯纤维的论文《石墨烯纤维纳米复合材料的合成及氨基酸检测的分析应用》:
- 介可视·散装物料库存管理雷达全景扫描系统在料仓、堆场中的应用
- 磷酸化修饰鬼臼果多糖的制备及生物活性
- DSR论文解读:Advanced Science News 报道中科院长春应化所新型非铂催化材料研究成果
- High-throughput preparation, scale up and solidification of andrographolide nanosuspension using hummer acoustic resonance technology(纳米混悬剂制备的前瞻性技术 - 蜂鸟声共振)

位置
